Пылестойкость катализаторов очистки ЛОС: от выбора формы до оптимизации структуры

Каталитическая очистка летучих органических соединений (ЛОС) — одна из успешных технологий в защите атмосферного воздуха на промышленных предприятиях. Эффективность и долговечность установок газоочистки в значительной мере определяются не только активностью катализатора, но и его устойчивостью к реальным условиям эксплуатации, прежде всего — к наличию пыли в исходных газовых потоках. Даже сравнительно невысокие концентрации твердых частиц способны привести к преждевременному выходу катализатора из строя: от физической блокировки и роста перепада давления до химической деактивации активных центров.
Проектирование установки, выбор формы и геометрии катализатора становятся критическими задачами, напрямую влияющими на надежность и экономику процесса.
Сферические гранулы, цилиндрические кольца и монолитные сотовые структуры — каждая форма обладает своим балансом пылеемкости, каталитической поверхности и гидравлического сопротивления.

Наличие пыли в исходном газе, поступающем в каталитическую установку, может вызывать различные проблемы, которые необходимо учитывать при проектировании, среди которых:

  1. Осаждение неорганической пыли на оборудовании и на катализаторе, что приводит к увеличению перепада давления по слою, физической блокировке катализатора и потере его эффективности.
  2. Пыль может быть ядовитой для катализатора и вызывать его деактивацию химическим путем.
  3. Пыль может иметь органическую природу, и в этом случае она может «сгорать» на катализаторе и вносить вклад в повышение температуры на выходе из реактора. Однако скорость сгорания может быть ниже количества пыли, поступающей в единицу времени, и в этом случае пыль будет накапливаться и создавать проблемы с перепадом давления. Может потребоваться пилотное испытание, чтобы установить, способен ли катализатор самоочищаться.
  4. Органическая пыль может создавать взрывоопасную ситуацию, если её концентрация высока, возможно, даже в течение короткого времени. НПВ (Нижний Предел Воспламенения) для пыли зависит от размера частиц: чем меньше размер частиц, тем ниже НПВ. Обычно НПВ находится в диапазоне 10–100 г/Нм³, что намного выше значений в исходном газе на очистку.
  5. Выброс пыли через очищенный газ. Если содержание пыли на выходе из установки превышает допустимый уровень выбросов пыли, следует предусмотреть стадию очистки от пыли перед подачей на каталитическую установку.
Стойкость катализатора к пыли зависит от доли свободного объема (пористости) слоя катализатора. Сферические и кольцевые катализаторы применяются при содержании небольшого количество пыли в исходном газе из-за относительно малой доли свободного объема в слое катализатора. Расчетная доля свободного объема слоя сферического катализатора составляет около 36%, тогда как для полого цилиндрического катализатора этот показатель равен около 50%. Соответственно, допустимое содержание пыли для катализатора сферической формы меньше, чем для цилиндрического.

В таблице 1 представлены практические значения стойкости к пыли различных форм катализатора.

Таблица 1. Пылестойкость разных форм катализаторов


Форма катализатора

Сферы 4-6 мм

Цилиндрические кольца

Сотовый

Пылестойкость toldust, кг/м2 поперечного сечения

5

20

20*

* экспериментальное значение для блочных сотовых катализаторов CPSI 400 (Сells Per Square Inch)

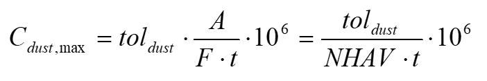
Для того, чтобы определить максимально допустимое содержание пыли в исходном потоке газа, проходящем через слой катализатора в реакторе используют следующую формулу:
формула расчета пылестойкости сферического катализатора
где,
Cdust,max - максимально допустимое содержание пыли в исходном газе в мг/нм3
tol dust – пылестойкость выбранной формы катализатора в кг/м2
A – площадь поперечного сечения слоя катализатора в м2
F – объем газа на очистку в нм3
t – гарантированное время эксплуатации катализатора в ч
NHAV (normal hourly area velocity empty reactor) – нормальный объемный расход газа в час в нм3/(м2*ч) для пустого реактора.

Например, для сферического катализатора, загруженного в цилиндрический реактор внутренним диаметром 2 м, расходом газа 7500 нм3/ч и 15000 часами времени эксплуатации катализатора получаем:
пример расчета пылестойкости сферического катализатора
Для цилиндрического катализатора с те же характеристиками получаем следующее значение:
пример расчета пылестойкости цилиндрического катализатора
Таким образом, для сферических и цилиндрических катализаторов окисления значение пылестойкости является маленькими значениями и подходит для низкозапыленных сред. При этом цилиндрическая форма катализатора имеет пылестойкость в 4 раза выше, чем сферическая. Из практики для решения задач по окисления с запыленных средах используют сотовые блочные структуры катализаторов.
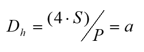
Для блочных монолитных катализаторов основными параметрами, определяющих пылестойкость, является гидравлический диаметр канала Dh, CPSI, толщина стенки между каналами tw, свободный объём структуры ε.

Сотовый блочный катализатор с квадратными ячейками
Рис.1. Сотовый блочный катализатор с квадратными ячейками
Для формы квадратных ячеек (рис.1), которая являются наиболее распространенным случаем расчет Dh происходит по формуле:

формула расчета гидравлического диаметра
где a — сторона квадратного канала, S-площадь канала, Р – периметр канала.
Или формулу можно выразить по-другому:

формула расчета гидравлического диаметра через CPSI
где,
Pitch – расстояние между центрами соседних ячеек, мм
a – внутренний размер канала (сторона квадрата)
tw – толщина стенки, мм
CPSI – это общепринятое обозначение количества каналов на квадратный дюйм (cells per square inch).

Толщина стенок tw зависит от производителя и материала изготовления. В целом, для кордиеритового материала чем меньше значение CPSI, тем выше значение толщины стенок в силу производственных ограничений. В то же время есть производители, использующие тонкую керамическую бумагу и у которых продукция имеет низкие значения CPSI и низкие значения толщины стенок. В этом случае увеличивается площадь контакта с катализатором, уменьшается масса катализатора и одновременно снижается прочность структуры. Для повышения прочности катализатора используют усиленные металлические корпуса.
Общий вид катализатора представлен на рис. 2.

вид сотовых катализаторов на основе керамической бумаги
Рис. 2. Общий вид сотовых катализаторов на основе керамической бумаги.
Свободный объем квадратной сотовой структуры катализатора (void) - доля объема блока, незанятая стенками (керамикой или металлом) и рассчитывается по формуле:

формула расчета доли свободного ообъема катализатора
Параметр определяется плотностью ячеек (CPSI) и толщиной стенок. Высокий показатель ε означает большую пылеемкость до критического роста перепада давления. Пыль, осаждаясь в крупных каналах, дольше не приводит к их полной физической блокировке. Система имеет больший запас до необходимости регенерации или очистки.

В таблице 2 представлена оценка влияния геометрических параметров Dh, CPSI, tw структуры сотового катализатора на пылестойкость катализатора.

Таблица 2. Оценка влияния геометрических параметров сотового катализатора на пылестойкость

Параметр

Влияние на пылестойкость

Физическая причина

Увеличение Dₕ

Сильно повышает

Частицы пыли проходят, не застревая в каналах

Меньше риск блокировки.

Легче очистка каналов продувкой.

Увеличение CPSI

Сильно снижает (при фиксированной толщине стенки)

Каналы мельче → выше скорость → больше инерционное осаждение

 Меньше запас по объёму для накопления пыли.

Увеличение толщины стенки tw

Снижает

С увеличением толщины стенки, снижается доля свободного объема ε и способность к пропусканию пыли насквозь.


В таблице 3 представлены числовые показатели зависимости пылестойкости от геометрических параметров сотового катализатора

Таблица 3. Рекомендуемые показатели пылестойкости сотовых блочных катализаторов

Плотность ячеек (CPSI)

Толщина стенки, tw (мм)

Гидравлический диаметр, Dₕ (мм)

Свободный объем, ε (%)

Стойкость к пыли

Рекомендуемые применения

10–25

0.9 – 2.0

4.0 – 8.0

68 – 75

ОЧЕНЬ ВЫСОКАЯ, >50 мг/нм3

•Сильно запылённые газы (цемент, металлургия).

• Потоки с каплями жидкости, смолами.

• Агрегаты с частыми пусками/остановками.

25–40

0.8 – 1.0

3.0 – 4.0

65 – 67

ВЫСОКАЯ, 10-50 мг/нм3

• Дымовые газы котлов, печей.

• Газы с умеренным содержанием летучей золы.

40–100

0.4 – 0.8

2.0 – 3.0

60 – 65

СРЕДНЯЯ, 5-10 мг/нм3

• Универсальные VOC-окислители.

• Очистка выхлопа стационарных двигателей.

• Газы с предварительной очисткой от пыли.

100–200

0.3 – 0.5

1.5 – 2.0

63 – 66

НИЗКАЯ, 1-5 мг/нм3

• Очистка технологических газов (химия, нефтехимия).

• Катализаторы для чистых процессов (гидрирование, др.).

• Системы с гарантированно низкой запылённостью.

200–400

0.3 – 0.5

0.9 – 1.5

63 – 68

ОЧЕНЬ НИЗКАЯ, 0,1-1 мг/нм3

• Лабораторные и пилотные установки.

• Процессы с гомогенными чистыми потоками.

• Нефтехимические производства

400–600

0.15 – 0.4

0.7 – 1.0

60 – 65

КРАЙНЕ НИЗКАЯ, <0,2 мг/нм3

• Только для абсолютно чистых газов без частиц.

• Микрореакторная техника.

• Специальные применения (медицина, электроника).



Мы обсудили параметры, которые влияют на пылестойкость сотовых катализаторов. И с одной стороны, проблему сильной запыленности можно решить использованием блоков с крупными ячейками, через которые пыль будет проходит насквозь. С другой стороны, для катализатора существует параметр площади каталитической активной поверхности, которая снижается при увеличении размеров ячеек и каналов. И важным этапом подбора катализатора является поиск компромиссного решения между стойкостью к пыли и площадью поверхности, определяющей каталитическую активность.

Таким образом, успешный проект каталитической очистки ЛОС для запыленных потоков основывается на триаде: анализ состава и концентрации пыли, корректный выбор формы и геометрии катализатора с учетом необходимого компромисса между пылестойкостью и активностью, и, при необходимости, обоснованное применение систем предварительной газоподготовки. Такой подход гарантирует стабильную работу установки, минимизацию эксплуатационных расходов и достижение требуемых экологических показателей на протяжении всего жизненного цикла катализатора.



Будем рады диалогу и сотрудничеству!
Оставьте контактные данные — мы свяжемся с вами в ближайшее время и предложим решение.