Расчет перепада давления в слоях сферического и монолитного (сотового) катализаторов: методы, формулы и практические примеры

Перепад давления в каталитических реакторах — ключевой параметр, влияющий на энергозатраты, равномерность распределения потока и эффективность процесса. Данная статья рассматривает методики расчета перепада давления для трех распространенных типов катализаторов: сферических гранул, полых цилиндрических и монолитных сотовых блоков.
Принимая во внимание высоту слоя катализатора, перепад давления в слое сферических частиц можно рассчитать по формуле Макса Лева или по формуле Эргана:
Формула Эргана расчета перепада давления по слою сферического катализатора
Формула Эргана расчета перепада давления по слою сферического катализатора
где,
K – это коэффициент сопротивления слоя, который зависит от режима течения и структуры слоя. Его значение определяют экспериментально.
Δp — перепад давления на 1 м высоты слоя катализатора, бар/м
G — массовая скорость, выраженная в кг/(м²·ч), G=FА0
FA – объемная скорость в нм32
Deq – диаметр сферы катализатора, мм
ρ0 — плотность газовой смеси в нормальных условиях в кг/нм³
ρ – плотность газа при текущих условиях, кг/м3
SF— коэффициент формы, для сферы равен 1
ε — доля свободного объема слоя, для сфер, как правило, около 0,34
μ — вязкость в кг/(м*ч)
F cor— поправочный коэффициент шероховатости поверхности, для сфер оксида алюминия равен 1
Рассчитаем перепад давления для сферического катализатора d=4 мм при 350⁰С в потоке воздуха. Суммируем показатели для сферического катализатора в таблице 1:

Таблица 1. Показатели для сферического катализатора для расчета перепада давления

Показатель

Deq, мм

SF

ε, %

Fcor.

К

Сферы

4

1

34

1

0,00163*

*экспериментальное значение

В таблице 2 представлены справочные свойства воздуха расчетов. На рис. 1 представлены зависимости вязкости воздуха и плотности от температуры.
Таблица 2. Справочные данные по воздуху

Температура

Вязкость μ

Плотность

кг/м・ч

кг/м3

0 н.у.

0,0628

1,252

100

0,0780

0,916

140

0,0840

0,827

180

0,0896

0,755

200

0,0924

0,723

250

0,0991

0,653

300

0,1052

0,596

350

0,1114

0,549

400

0,1178

0,508

500

0,1288

0,442

график вязкости воздуха от температуры
Зависимость вязкости и плотности воздуха от температуры
Рис.1. Зависимости вязкости и плотности воздуха от температуры
Принимая во внимание представленные выше данные по сферическому катализатору и воздуху, проведем расчет по формулу Эргана:

Рис.2. Зависимость перепада давления по слою сферического катализатора от объемной скорости при 350 ⁰С
Рассчитаем перепад давления для цилиндрических колец (рис.3), принимая во внимание параметры в таблице 3:

Таблица 3. Показатели для цилиндрического полого катализатора для расчета перепада давления

Размер колец

Deq, мм

SF

ε, %

Fcor.

К

10/4x7

9.5

0.66

46

1.28

0.00279*

4.8/2.8x6

6.6.

0.56

56

1.28

0.00279

5/2.5x7

5.8

0.55

50

1.28

0.00279

* - экспериментальное значение

Зависимость перепада давления по слою цилиндрического полого катализатора от объемной скорости
Рис.3. Зависимость перепада давления по слою цилиндрического полого катализатора от объемной скорости при 350 ⁰С
Как видим из расчетов, для цилиндрических колец 4.8/2.8×6 мм потери давления составляют около 35% от потерь для сферических гранул диаметром 4 мм при аналогичных условиях.

Перепад давления в слое гранулированного катализатора определяется балансом сил сопротивления при течении газа через пространство пор. Изменение температуры и давления системы влияет на ключевые параметры газа, что в свою очередь изменяет гидродинамическое сопротивление слоя. На рис.4-6 представлены серии зависимостей при 200/300/400⁰C перепада давления по слою сферического катализатора d=4 мм от объемной скорости при заданном давлении в системе для газовой смеси 20%O2/80%N2.

Зависимость перепада давления от объемной скорости и давления по слою сферического катализатора
Рис.4. Зависимость перепада давления от объемной скорости и общего давления в системе по слою сферического катализатора при 200⁰С
Зависимость перепада давления от объемной скорости и давления по слою сферического катализатора
Рис.5. Зависимость перепада давления от объемной скорости и общего давления в системе по слою сферического катализатора при 300⁰С
Зависимость перепада давления от объемной скорости и давления для сферического катализатора
Рис.6. Зависимость перепада давления от объемной скорости и общего давления в системе по слою сферического катализатора при 400⁰С

Сделаем общие выводы влиянию разных параметров системы на перепад давления по слою катализатора. При повышении температуры происходят следующие изменения свойств газового потока (таблица 4):

Таблица 4. Влияние параметров газа на перепад давления и температуру по слою катализатора

Параметр газа

Зависимость от температуры

Влияние на ΔP

Вязкость (μ)

Увеличивается (μ ∝ Tⁿ, где n ≈ 0.6-0.7 для газов)

Увеличивает ΔP в ламинарном режиме

Плотность (ρ)

Уменьшается (ρ ∝ 1/T при P=const)

Уменьшает ΔP в турбулентном режиме

Объемный расход

Увеличивается (при постоянном массовом расходе)

Увеличивает ΔP

Режим течения (Re)

Изменяется Число Рейнольдса Re = (G·Deq)/(μ·SF)

Влияет на соотношение ламинарной/турбулентной составляющей


Таким образом, при постоянном массовом расходе повышение температуры обычно приводит к снижению перепада давления из-за уменьшения плотности газа, несмотря на рост вязкости. При постоянном объемном расходе в нормальных условиях (нм³/ч) ΔP значительно возрастает с температурой.

При изменении общего давления в системе происходят следующие изменения (таблица 5):

Таблица 5. Влияние параметров газа на перепад давления и общее давление в системе по слою катализатора

Таблица 5.

Параметр

Зависимость от давления

Влияние на ΔP

Плотность (ρ)

Увеличивается линейно (ρ ∝ P)

Увеличивает ΔP в турбулентном режиме

Вязкость (μ)

Слабо зависит для газов

Незначительное влияние

Объемная скорость

Уменьшается (при постоянном массовом расходе)

Уменьшает ΔP

Сжимаемость

Становится значительной при высоких P

Усложняет расчет (нелинейный профиль ΔP)


Таким образом, сформулируем практические рекомендации:
Для процессов с постоянным массовым расходом:
  1. Повышение температуры незначительно влияет на ΔP (±10% в диапазоне 0-500°C)
  2. Повышение давления существенно снижает ΔP (в 5-20 раз при P=20 бар)
Для процессов с постоянным объемным расходом в н.у.:
  1. Повышение температуры значительно увеличивает ΔP (в 3-4 раза к 500°C)
  2. Повышение давления снижает ΔP, но менее эффективно, чем в случае постоянного G
  3. Критический параметр: температура на входе в каталитический слой
В реальных условиях необходимо учитывать:
  1. Неравномерность укладки катализатора (ε - доля свободного объема слоя - может меняться от 0.32 до 0.38)
  2. Уплотнение слоя со временем (рост ΔP на 10-30% за срок службы 2-4 года)
  3. Термическое расширение гранул (изменение ε при нагреве)
  4. Запыление входной части слоя (локальное увеличение ΔP)

Практические рекомендации:

Для процессов с постоянным массовым расходом:
  1. Повышение температуры незначительно влияет на ΔP (±10% в диапазоне 0-500°C)
  2. Повышение давления существенно снижает ΔP (в 5-20 раз при P=20 бар)
Для процессов с постоянным объемным расходом в н.у.:
  1. Повышение температуры значительно увеличивает ΔP (в 3-4 раза к 500°C)
  2. Повышение давления снижает ΔP, но менее эффективно, чем в случае постоянного G
  3. Критический параметр: температура на входе в каталитический слой
В реальных условиях необходимо учитывать:
  1. Неравномерность укладки катализатора (ε - доля свободного объема слоя - может меняться от 0.32 до 0.38)
  2. Уплотнение слоя со временем (рост ΔP на 10-30% за срок службы 2-4 года)
  3. Термическое расширение гранул (изменение ε при нагреве)
  4. Запыление входной части слоя (локальное увеличение ΔP)
Из практики используют поправку для реального расчета перепада давления на длительную эксплуатацию 2-4 года:
Практический расчет перепада давления по слою катализатора
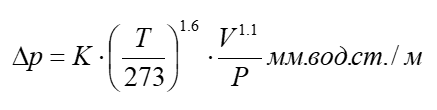
Для расчета перепада давления через слой сотовых блочных катализаторов используют следующую формулу, которая является модификацией формулы Эргана:
Формула Эргана по расчету перепада давления по слою сотового катализатора
Формула Эргана по расчету перепада давления по слою сотового катализатора
где,
V – линейная скорость в нм/с (при атмосферном давлении площадь поперечного сечения полки катализатора
Р – давление, бар абс.
Т – температура, К
К – это коэффициент сопротивления слоя. Его значение определяют экспериментально.

Для сотовых катализаторов в таблице 6 приведены значения К в зависимости от гидравлического диаметра:

Таблица 6. Зависимость коэффициента сопротивления слоя К от гидравлического диаметра монолитных сотовых блоков.

Данные сопротивления слоя сотового катализатора от гидравлического диаметра
Зависимость коэффициента сопротивления слоя монолитного катализатора от гидравлического диаметра
Рис.7 Зависимость коэффициента сопротивления слоя монолитного катализатора от гидравлического диаметра
Зависимость перепада давления для монолитного сотового катализатора от линейной скорости
Рис.8. Зависимость перепада давления для монолитного сотового катализатора от линейной скорости при 500°С

При сравнении значений перепада давлений между сферическим, цилиндрическим, сотовым катализаторами можно сделать вывод, что перепад давления для сотового катализатора ниже, как минимум, на порядок (!), чем для других видов катализаторов.

Для монолитных сотовых катализаторов линейная скорость потока должна быть 2-4 нм/c при атмосферном давлении. При более низких скоростях высока вероятность накопления и отложений пыли. При более высоких значениях перепад давления увеличивается и может стать критичным. Для большей стойкости к пыли и ее отложениям следует выбирать направление потока сверху вниз.

Если перепад давления слишком высок, и невозможно уменьшить высоту слоя катализатора, обычно разделяют поток на несколько потоков меньшего расхода и пропускают их через несколько параллельных слоев. На рис. 9 показан пример реактора с одним слоем и с тремя раздельными слоями.


Поток газа в реакторе через один и несколько слоев катализхатора
Рис.9. Прохождение потока в реакторе через один слой (слева) и через несколько параллельных слоев (справа)

Выводы

Зависимость перепада давления от температуры и давления имеет сложный характер, определяемый:
  1. Режимом течения газа, определяемый числом Рейнольдса Re
  2. Способом задания расхода (массовый или объемный)
  3. Геометрией слоя и гранул
Для снижения ΔP в высокотемпературных процессах наиболее эффективно повышение давления
При проектировании необходимо рассматривать весь диапазон рабочих условий
Экспериментальные данные для конкретной системы всегда предпочтительнее теоретических расчетов

  1. Для сферических гранул перепад давления сильно зависит от размера, пористости и скорости газа.
  2. Цилиндрические кольца обеспечивают меньшее сопротивление, чем сферические гранулы благодаря большей свободной площади.
  3. Для монолитных блоков перепад давления по слою ниже минимум на порядок, чем для других катализаторов. Ключевым параметром является гидравлический диаметр ячеек. Оптимальный режим работы — при линейных скоростях 2–4 нм/с.
  4. При высоких перепадах давления эффективно применение многопоточных схем с параллельными слоями катализатора.
Данные расчеты позволяют оптимизировать гидродинамические режимы и конструкцию каталитических реакторов, обеспечивая минимальные энергозатраты и стабильную работу установки.


Будем рады диалогу и сотрудничеству!
Оставьте контактные данные — мы свяжемся с вами в ближайшее время и предложим решение.